
![]() |
![]() |
![]() |
![]() |
![]() |
![]() |
![]() |
![]() |
![]() |
![]() |
![]() |
![]() |
![]() |
![]() |
![]() |
![]() |
![]() |
![]() |
![]() |
![]() |
![]() |
![]() |
![]() |
![]() |
![]() |
![]() |
![]() |
2.境外货币资金余额增长原因及合感性
讲演期末,公司境外货币资金余额及占比同比赫然增长,其中变动占比最大的归集主体为盛屯金属国际贸易有限公司,其中4.81亿元为境外期货保证金。该主体看成公司主要的境外商品期货交易平台,由于2022年3月份后伦敦金属交易所及境外期货商对于镍、铜、锌等主要有色金属,大幅提升了交易保证金比例,公司在期货交易商存放的期货保证金大幅提升,导致境外货币资金余额及占比均同比赫然增长。该主体套保头寸仍合适公司在关联金属现货的套期保值风险管控需求及关联规矩。
宏盛国际资源有限公司看成国外投融资平台,本讲演期末资金余额同比有所增多,主若是由于按期归集国外子公司友山镍业印尼有限公司工场运营期间盈余资金用于反璧鼓吹借债。
盛屯环球资源投资有限公司在本讲演期末资金余额同比统共增多,主若是环球资源看成其子公司刚果盛屯资源有限公司铜钴冶真金不怕火厂的产制品销售平台,收到下流铜钴销售货款后暂未回款给子公司,该笔资金后续已于2023年1月根据结算账期将结算货款转至子公司银行账户。
印尼盛迈镍业有限公司在本讲演期末资金余额同比有所增多,主若是由于在工场投建期间收到各鼓吹方出资的资金看成其投建款,后续根据工程进程按需陆续对外支付。
总而言之,公司境外进款系境外子公司用于国外业务发展需要的货币资金,跟着连年来公司国外业务界限的安详扩大,公司境外货币资金界限同步增长,具有合感性。
3.管控设施及资金安全性
公司根据关联法律律例制定《财务料理轨制》及《货币资金料理轨制》,明确资金业务办理历程及审批权限,公司财务部严格谨守该规矩,办理公司的一切相差业务,公司司帐部根据该规矩负责记账,每月末会同财务部东谈主员对货币资金进行盘货和对账,公司通过对货币资金的相差实行不相容,岗亭彼此分离、制约和监督单干料理来管控资金。办理资金相差业务严格按规矩的审批权限执行,按月赢得银行对账单开展资金盘货责任。
公司在遴荐跨境交易的迷惑银行时,波及境外资金的料理,优选具有群众职业智商的大型银行看成结算及跨境业务迷惑伙伴以确保资金安全。靠近日益复杂的外部环境,公司抓续眷注涉外被投资主体地点国度经济政事、外汇料理政策变化,当令遴选关联风险应付设施,确保资金安全。
司帐师意见:
咱们执行了如下审计程序:
1.了解公司与货币资金业务关联的关节里面适度,评价这些适度的想象,确定其是否得到执行,并测试关联里面适度的运行灵验性。
2.赢得公司已开立银行账户清单,核实其完满性并与公司账面记录的银行账户查对;赢得银行征信讲演与银行进款、贷款等关联信息查对,检讨货币资金是否存在典质、质押、其他担保信息或冻结等情况;此外,通过查询中国裁判告示网等汇集公开信息核查公司是否存在未露馅的担保情况等;赢得银行对账单及银行进款余额退换表,检讨货币资金未达账项,并对货币资金实施函证程序,并对函证轨迹实施灵验适度。函证情况如下:
单元:万元
其他货币资金发函金额与年末余额的各异系公司对按期进款计提的未到期应收利息及在途货币资金。对于在途货币资金,执行替代测试检讨期后回款情况。
受限货币资金发函金额与年末余额的各异系公司对按期进款计提的未到期应收利息。
3.赢得银行活水,对银行活水实施双向核查,检讨银行回单及银行活水中的收款单元、金额、日历等信息与公司账面、合同记录是否一致,对于不一致情况,执行进一步审计程序,包括但不限于审查合同、结算单子、发票、付款等审批历程、转付说明等贵寓。
4.中姿色本,抽查货币资金相差,跟踪来源和行止,检讨原始凭证是否都全、眷注收付款方、收付款金额与合同、订单、出入库等关联信息是否一致,记账凭证与原始凭证是否相符、账务处理是否正确、是否记录于稳当的司帐期间等项内容,检讨是否存在特地事项。
5.对境外紧要组成部分,在利用境外组成部分司帐师责任的同期,集团司帐师对存放在境外的货币资金执行银行函证程序。函证情况如下:
葡京娱乐皇冠信用登录网址
单元:万元
内容简介:一觉睡醒,她发现自己被迫要嫁给一个年近六十、体虚肾亏的糟老头子,还有比她更苦逼的么?结果洞房当晚,她发现年近六十的大爷变成了颜好体壮大帅哥,体不虚了肾不亏了,却是个没节操的牛郎!捧着差点没折成两段的腰,她不清楚到底是活守寡当个深闺怨妇好,还是X尽人亡更幸福。“老公,咱们今晚停战歇息怎么样?”她猛眨星星眼。“锻炼太少,所以你身体不好,乖,别闹了,咱们继续!”她吐血捶胸:“骗子,大骗子!说好的肾亏呢?说好的守寡呢?”
存放在境外货币资金发函金额与年末余额的各异系境外皮途货币资金。对于在途货币资金,执行替代测试检讨期后回款情况。
6.检讨非记账本位币货币资金的折算汇率及折算金额是否正确。
7.检讨银行承兑公约、银行借债合同、售后租回融资业务合同、质押合同和典质合同等。向银行函证阐发受限货币资金情况。函证情况详见程序2。
8.稽查不动产产权证,稽查公司固定金钱、无形金钱、投资性房地产是否产权受限,并与受限金钱明细查对。
9.检讨货币资金是否稳当列报,并眷注资金安全性和露馅稳当性。
皇冠体育hg86a
基于执行的审计程序,咱们合计:
公司上述答复说明与咱们在执行公司2022年度财务报表审计过程中了解到的信息一致。
问题4.对于商誉。年报露馅,公司商誉期末余额12.61亿元,减值准备期末余额为2.00亿元,其中讲演期内新增0.53亿元,主要为对科立鑫计提减值准备0.48亿元,其2022年净利润为-1.60亿元。其他商誉地点金钱事迹同样存在赔本情况,但讲演期内减值计提金额较少,如银鑫矿业赔本4661.78万元,新增商誉减值7.79万元;四环锌锗赔本5331.32万元,无新增商誉减值准备。
请公司:(1)列示商誉对应子公司的具体情况,包括但不限于营业收入、净利润、考虑行径现款流、本期减值计提金额及较上期变化情况;(2)补充露馅讲演期商誉减值测试过程、减值测试紧要假设、关节参数,包括但不限于预测期、收入增长率、用度率、利润率、折现率等的中式依据及合感性,关联参数中式与2020年和2021年比拟是否存在较大各异;(3)聚首关联子公司业务开展情况及计提商誉减值准备的具体原因和依据,说明对各子公司计提商誉减值的方法是否存在各异,计提是否审慎、合理、充分。请司帐师发表意见。
公司答复:
一、列示商誉对应子公司的具体情况,包括但不限于营业收入、净利润、考虑行径现款流、本期减值计提金额及较上期变化情况。
单元:万元
二、补充露馅讲演期商誉减值测试过程、减值测试紧要假设、关节参数,包括但不限于预测期、收入增长率、用度率、利润率、折现率等的中式依据及合感性,关联参数中式与2020年和2021年比拟是否存在较大各异。
公司积年商誉的形成原因分为两部分,一部分为收购溢价形成的商誉(以下简称“中枢商誉”),另一部分为收购时金钱评估升值阐发递延所得税欠债产生的商誉(以下简称“非中枢商誉”)。
(一)非中枢商誉减值测试过程
对于因阐发递延所得税欠债而形成的商誉,公司按照递延所得税欠债摊销的同等金额计提商誉减值准备。
公司非中枢商誉减值计提情况具体如下:
单元:万元
注:公司收购珠海科立鑫所形成商誉中部分系因阐发递延所得税欠债产生的非中枢商誉。
如上表所述,2022年度公司部分企业未分娩,因此递延所得税欠债亦未进行摊销,关联商誉因此未计提减值准备。除上述情形外,公司其他非中枢商誉均已根据递延所得税欠债的摊销金额计提了减值准备,减值计提充分。
(二)中枢商誉减值测试过程
单元:万元
珠海科立鑫商誉年末账面价值为56,220.07万元,占公司2022年末中枢商誉的比重为96.73%,系公司主要中枢商誉,其余中枢商誉金额较小,对公司不组成紧要影响。
因此,现就公司珠海科立鑫商誉的减值测试过程、关联参数的中式依据及合感性具体说明如下:
1.珠海科立鑫商誉减值测试紧要假设
(1)抓续考虑假设:抓续考虑假设是指评估时需根据被评估金钱组按当今的用途和使用的气象、界限、频度、环境等情况不竭使用,或者在有所更动的基础上使用,相应确定评估方法、参数和依据;
(2)国度现行的关联法律律例、国度宏不雅经济场地、金融以及产业等政策不发生紧要变化;
(3)商誉关联金钱组地点企业在往时考虑期内在现存的料理气象和料理水平的基础上,考虑界限、气象与面前标的保抓一致,中枢料理层保抓领略尽责,且按现存的举座策略和考虑观念考虑公司;
(4)假设寄予东谈主及商誉关联金钱组地点企业所提供的关联财务考虑贵寓、产权臣寓、政策文献等关联材料信得过、完满、灵验;
(5)假设关联金钱组地点企业对预测期产销量的预测,是聚首企业在领略分娩期内,计议由于机械拓荒西宾、非洲不领略情况可能形成的原料物流滞后及受雨季台风季等可能形成的小界限停产影响,对销售量的预测是合理的;
(6)假设商誉关联金钱组地点企业与现存客户的业务关系保管当今界限并保抓顺应和必要的同比增长;往时的居品销售策略或者平方实施,居品结构、销售业态等除已了解的调治变化外,无其他紧要变化,现存的客户关系或者得以保管,并对销售业务产生积极影响;
皇冠博彩(7)假设商誉关联金钱组地点企业在往时考虑期内的考虑模式、主营业务、收入与成本仍保抓其当今的状态水平,而不发生较大变化;
(8)假设金钱组业务考虑所波及的外部经济环境,国度现行的宏不雅经济不发生紧要变化,无其他不行预测和不行抗力因素形成的紧要不利影响;
(9)假设商誉关联金钱组地点企业对统共关联的金钱所作念的一切考订改建技俩是谨守统共关联法律要求和关联上司主宰机构在其他法律、考虑或工程方面的规矩的;
(10)假设评估对象所处行业的阛阓环境与供需情景除已了解的变化外,无其他紧要变化与不良影响。
2.珠海科立鑫商誉减值测试关节参数的中式依据及合感性、与2020年和2021年的比较情况
A.预测期
根据《企业司帐准则准则第8号逐一金钱减值》第十一条“竖立在预算或者预测基础上的展望现款流量最多涵盖5年,企业料理层如能说明更长的期间是合理的,不错涵盖更长的期间。”珠海科立鑫发展情景邃密,莫得确实左证标明珠海科立鑫在往时某个时候拆开考虑,故领受永续年期看成收益期。其中,第一阶段为2023年1月1日至2027年12月31日,预测期为5年。在此阶段中,根据对历史事迹及往时阛阓分析,收益情景逐步趋于领略;第二阶段为2028年1月1日至永续考虑,在此阶段中,按保抓领略的收益水平计议。
B.收入增长率
单元:万元
珠海科立鑫主要居品为四氧化三钴,经当地生态环境局批准,总想象产能钴金属量约5000t/a(含子公司钴金属量2000t/a)。连年居品的产销率基本保抓在90%以上。
收入及增长率的预测主要基于以下因素进行预测:
珠海科立鑫2022年对居品分娩线进行较大界限的技改升级,并对公司厂区内管线进行整改,公司2022年5-8月处于半停产状态;下属子公司阳江科立鑫与厦门厦钨新能源材料股份有限公司坚决策略迷惑框架公约,根据厦门厦钨新能源材料股份有限公司定制超高品性居品的要求,2022年上半年,子公司阳江科立鑫主要研发和试产高品性四氧化三钴居品,通过认证完成时候晚于预期,产能未能得到开释,以至公司举座产量大幅裁汰。另外,受到俄乌干戈及新冠高明克戎疫情蔓延影响,群众花消类电子出货量减少,导致钴金属及四氧化三钴居品价钱大幅度的下滑。在量价都跌的情况下,以至公司2022年的销售收入有较大幅度的下降。
2023年及以后年度收入预测,是珠海科立鑫料理层,根据当今阛阓施行情况及下流花消电子阛阓界限和情势,经进行分析判断后作念出的严慎性预测,具体分析如下:
根据行业智库,能源电板立异定约、安泰科、SMM数据统计及公司组织业内众人论证,2023年以后阛阓将呈现回暖趋势,群众花消电子阛阓于2023年运行触底后将有所改善,与此同期,国内花消电子阛阓也呈现相似趋势。在充分计议现存紧要客户资源(包括:厦钨新能、湖南好意思特、旧圣比和实业、山东盟国科想茂、江门科恒等)对公司居品需求及花消电子阛阓花消安详收复,经笼统计议后,对往时年度的收入进行预测。
2023年-2027年销售收入增长率分别为18.59%、36.33%、21.68%、12.50%、0.00%,收入增长率的孝顺主要来自于因珠海科立鑫2022年对居品分娩线进行较大界限的技改和下属子公司阳江科立鑫研发超高品性四氧化三钴居品停产期间,对公司产销量的影响,并聚首下流花消电子阛阓界限、情势及花消类电子居品阛阓收复趋势以及俄乌打破、后疫情时期下的世界贸易规律、通货蔓延等不确定性因素对经济复苏的影响,笼统计议后进行预测,展望2026年收复到平方合理水平。收入预测较为客不雅的反应了四氧化三钴居品的阛阓施行,具有合感性。
C.用度率、利润率等参数
2023年毛利率为11.23%,利润率4.62%,由于受珠海科立鑫对居品分娩线进行较大界限的技改和下属子公司阳江科立鑫研发超高品性四氧化三钴居品停产期间影响以及俄乌打破,通货蔓延,群众花消类电子居品出货量着落等因素的影响,四氧化三钴居品在2022年下半年运行出现了急速着落,在量价都跌的情况下,这轮着落由居品端逐步往材料端蔓延,导致前期居品阛阓价钱着落幅度高于原料降幅,以至公司毛利率、利润率严重下滑,固然2023年四氧化三钴居品触底后有所改善,但阛阓收复需要一定时候,这将对2023年及以后年度产生一定影响。
2023年和2024年,用度率6.30%,5.03%,主要因销售收入的影响所致。
销售用度、料理用度、研发费,主要包括员工薪酬、水电费、折旧、差旅费、办公费、业务理睬费、保障费、交通费等。主要参考积年各样用度施行情况,并聚首其往时年份公司业务发展,进行笼统估算。
用度率、利润率等与2020年、2021年对比
2021年谋略高于2020年和2022年,毛利率、利润率谋略高,其原因主要为四氧化三钴居品的平均销售价钱高于2020年和2022年的平均销售价钱;用度率谋略高,其原因主要为下属子公司阳江科立鑫研发超高品性四氧化三钴居品加大进入研发用度所致。
总而言之,用度率、利润率中式具有合感性。关联参数中式与2020年和2021年比拟不存在较大各异。
D.折现率
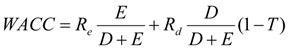
折现率领受(所得)税前加权平均本钱成本(WACC)确定,公式如下:
式中:Re:权力本钱成本;Rd:负息欠债本钱成本;T:所得税率。
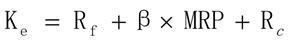
权力本钱成本Re领受本钱金钱订价模子(CAPM)筹算,公式如下:
Re=Rf+β×ERP+Rs
式中:Re为股权酬报率;Rf为无风险酬金率;β为权力系统风险统共;ERP为阛阓风险逾额酬报率;Rs为公司独有风险逾额酬报率
a.无风险酬金率Rf确实定
金钱评估专科东谈主员通过查询WIND终局公布的评估基准日至“国债到期日”的剩余期限率先10年的国债看成估算国债到期收益率,经查询为3.927%。
b.权力系统风险统共β值确定
由于商誉关联金钱组地点企业瑕瑜上市公司,无法径直筹算其Beta统共,为此咱们领受的方法是在上市公司中寻找一些在主营业务界限、考虑事迹和金钱界限等均与商誉关联金钱组地点企业相当或相近的上市公司看成对比公司,通过估算对比公司的Beta统共进而估算商誉关联金钱组地点企业的Beta统共。其估算门径如下:
(1)遴荐对比公司:筹算对比公司具有财务杆杠影响的Beta统共及平均值
中式对比公司的原则如下:对比公司只刊行东谈主民币A股;对比公司的主营业务与评估对象的主营业务相似或相近;对比公司的股票截止评估基准日已上市3年以上;对比公司的考虑界限与评估对象尽可能接近;对比公司的考虑阶段与评估对象尽可能相似或相近。
根据上述程序,咱们中式了以下3家上市公司看成参考企业
(2)BETA值的估算
Wind资讯的数据系统提供了上市公司Beta值的筹算器,咱们通过该筹算器以沪深300指数为预计程序,筹算周期取月,筹算的时候界限取评估基准日前36个月,收益率筹算气象取无为收益率,且剔除财务杆杠影响,得到各可比公司莫得财务杆杠统共的Beta值。由此,咱们领受历史数据估算出来的可比公司的Beta统共是代表历史的Beta统共,而将历史Beta统共调正为预期的Beta统共不错领受布鲁姆调治(Blume Adjustment)法,筹算公式如下:
此外,可比公司Beta统共一般都是包含其财务风险和考虑风险等各式风险因素的Beta,常常领受如下公式剔除可比公司Beta统共中的财务杠杆影响:
网络投注其中:D - 可比公司债权阛阓价值
E - 可比公司股权阛阓价值
T - 可比公司适用所得税率
故对3家可比公司的Beta值进行查验,并根据上述公式筹算可比公司的Unlevered Beta=1.1084。
则有财务杠杆的的系统风险统共β为1.3625。
c.本钱阛阓平均收益率及阛阓风险溢价ERP确实定
咱们按如下气象估算中国股市的投资收益率及风险收益率ERP(以下简称ERP):
(1) 中式预计股市ERP的指数:估算股票阛阓的投资酬报率起原需要确定一个预计股市波动变化的指数,中国当今沪、深两市有很多指数,然则咱们选用的指数应该是能最佳反应阛阓主流股票变化的指数,参照好意思国关联机构估算好意思国股票阛阓的ERP时选用程序普尔500(S & P500)指数的想路和教化,咱们在估算中国股票阛阓的ERP时选用沪深300看成预计股市ERP的指数。
(2)指数年期的遴荐:中国股市始于上世纪90年代初期,最初几年发展较快但不够表率,直到1996年之后才逐步走上正规,计议到上述情况,咱们在测算中国股市ERP时的筹算年期从1998年运行,即指数的时候区间遴荐为1998-1-1到2020-12-31之间。
(3)指数要素股偏执数据鸠合:沪深300指数的要素股每年是发生变化的,因此咱们在估算时领受每年年底的沪深300指数的要素股。对于沪深300指数莫得推出之前的1999~2003年,咱们领受外推的气象推算其关联数据,即领受2004年年底沪深300指数的要素股外推到上述年份,亦即假设1997~2003年的要素股与2004年年末一样。在关联数据的鸠合方面,为简化本次评估的ERP测算中的测算过程,咱们借助万德资讯的数据系统遴荐每年末要素股的各年末交易收盘价看成基础数据进行测算。由于要素股收益中应该包括每年分成、派息和送股等产生的收益,新2体育app因此咱们选用的成份股年末收盘价是包含了每年分成、派息和送股等产生的收益的复权年末收盘价,以全面反应各成份股各年的收益情景。
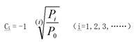
(4) 阛阓平均收益率的筹算领受历久几何平均收益率平均值
设第1年到第i年的几何平均收益率为Ci,则:
上式中:Pi 为第i年年末收盘价(复权)
P0 为基期1997年末收盘价(复权)
根据投资风险散布的旨趣,将筹算得到的沪深300沿路成份股票各年几何平均值投资收益率进行简便平均,得到筹算年度的本钱阛阓投资收益率参考值。
(5) 筹算期每年年末的无风险收益率Rfi的估算:为了估算每年的ERP,需要估算筹算期内每年年末的无风险收益率Rfi,本次评估咱们领受国债的到期收益率(Yield to Maturate Rate)看成无风险收益率;样本的遴荐程序是每年年末距国债到期日的剩余年限率先10年的国债,终末以中式的沿路国债的到期收益率的平均值看成每年年末的无风险收益率Rfi。
皇冠客服飞机:@seo3687
(6)估算论断:
按上述估算模子及想路筹算分析,笼统本技俩展望收益期限等因素的计议,本技俩渴望阛阓风险溢价(ERP)取值为7.12%。
d.公司特定风险调治统共确实定
笼统计议金钱组地点企业的考虑界限、居品的开发程度,考虑料理、抗风险智商、阛阓预期、金钱欠债情况等,分析确定企业特定风险调治统共为1.50%。
e.预测期折现率确实定
(1)筹算权力本钱成本
将上述确定的参数代入权力本钱成本筹算公式,筹算得出商誉关联金钱组地点企业的权力本钱成本。
=3.927%+1.3625×7.12%+1.50%
=15.13%
(2)债权本钱成本
公司债务本钱与寰球银行间同行拆借中心和中国东谈主民银行公布的五年期贷款利率4.30%基本一致。咱们领受该利率看成咱们的债权年渴望酬报率。
(3)筹算加权平均本钱成本
=12.69%
f.(所得税)前折现率确实定
=14.93%
2022年折现率与2020年、2021年对比
2020年-2022年,咱们中式的3家上市公司参考企业为华友钴业、寒锐钴业、洛阳钼业,三年均保抓了一致,三年的折现率后果如下:
折现率有渺小各异主要由行业阛阓可比公司β统共变动导致。
综上可见,折现率参数的中式过程中均已充分计议宏不雅、行业、特定阛阓主体的风险因素,折现率的中式具有合感性。
三、聚首关联子公司业务开展情况及计提商誉减值准备的具体原因和依据,说明对各子公司计提商誉减值的方法是否存在各异,计提是否审慎、合理、充分。
(一)今年公司商誉的计提情况
单元:万元
(二)各子公司计提商誉减值的方法
1.中枢商誉减值准备计提的方法
对于中枢商誉,公司按照商誉减值测试的一般要求进行处理:
公司料理层根据《企业司帐准则第8号-金钱减值》的规矩至少每年年度终了对商誉是否存在减值迹象进行测试与判断。对于存在减值迹象的金钱,公司按照《企业司帐准则第8号-金钱减值》关联要求进一步测算可回收金额。具体依据如下:
对于因企业合并形成的商誉的账面价值,自购买日起按照合理的方法分担至关联的金钱组;难以分担至关联的金钱组的,将其分担至关联的金钱组组合。关联的金钱组或金钱组组合,是或者从企业合并的协同效应中受益的金钱组或者金钱组组合,且不大于本集团确定的讲演分部。
减值测试时,如与商誉关联的金钱组或者金钱组组合存在减值迹象的,起原对不包含商誉的金钱组或者金钱组组合进行减值测试,筹算可收回金额,阐发相应的减值损失。然后对包含商誉的金钱组或者金钱组组合进行减值测试,比较其账面价值与可收回金额,如可收回金额低于账面价值的,阐发商誉的减值损失。
减值测试后,若该金钱的账面价值率先其可收回金额,其差额阐发为减值损失,上述金钱的减值损失依然阐发,在以后司帐期间不予转回。
2.非中枢商誉减值准备计提方法
今年度非中枢商誉计提减值准备的方法为:公司参及第国证券监督料理委员会司帐部2020年6月出书编写的《上市公司执行企业司帐准则案例领会(2020)》第五章案例5-1[因收购时金钱评估升值阐发递延所得税欠债产生的商誉偏执减值问题],案例分析:基于商誉减值测试目的,可能需要将举座商誉分辨为两部分:中枢商誉和因阐发递延所得税欠债而形成的商誉。对于中枢商誉,应按照商誉减值测试的一般要求进行处理;而对于因阐发递延所得税欠债而形成的商誉,跟着递延所得税欠债的转回而减少所得税用度,该部分商誉的可收回金额骨子上即为减少的往时所得税用度金额。跟着递延所得税欠债的转回,其可减少往时所得税用度的金额亦随之减少,从而导致其可收回金额小于账面价值,因此应安详就各期转回的递延所得税欠债计提同等金额商誉减值准备。
公司今年度非中枢商誉计提方法合适中国证券监督料理委员会司帐部2020年6月出书编写的《上市公司执行企业司帐准则案例领会(2020)》第五章案例5-1[因收购时金钱评估升值阐发递延所得税欠债产生的商誉偏执减值问题]的关联要求。
总而言之,公司对各子公司的归并类商誉的减值计提法是相似的。
(三)银鑫矿业、四环锌锗商誉计提情况
银鑫矿业的商誉沿路为非中枢商誉,商誉减值依据当期转回的递延所得税欠债金额计提同等金额商誉减值准备。本期银鑫矿业处于停工状态,当期计提的商誉减值金额为递延所得税欠债转回对应的金额。
公司收购四环锌锗为归并适度下合并,合并层面未形成商誉。汉源四环锌锗科技有限公司、四川高锗再生资源有限公司对应的商誉为四环锌锗收购这两家子公司形成的商誉。今年度,四环锌锗赔本,但汉源四环锌锗科技有限公司和四川高锗再生资源有限公司处于平方考虑状态,经减值测试后,不存在商誉减值。
博彩平台游戏活动总而言之,公司商誉减值准备计提审慎、合理、充分。
司帐师意见:
咱们执行了如下审计程序:
1.测试与商誉账面价值评估关联的关节里面适度的想象、执行的灵验性;
2.复核料理层对金钱组的认定和商誉分担方法,评价料理层的往时现款流预测及决定和批准该预测的程序是否稳当。
3.基于对于各金钱组的历史事迹、发展考虑以及关联行业的了解,分析并复核了料理层在减值测试中展望往时现款流量现值时诓骗的关节司帐判断、假设和计算的合感性。
4.比较历久股权投资、商誉的账面价值与其可收回金额的各异,阐发是否存在商誉减值情况。
5.对料理层遴聘的对商誉进行估值的第三方评估机构的寂静性及专科胜任智商进行评价。
6.赢得商誉评估讲演,寂静遴聘第三方评估机构中庸金钱评估有限公司对评估讲演进行复核,并与复核评估机构进行充分交流。复核评价商誉评估讲演中波及到的关联假设、关节参数的合感性,包括展望产量、往时销售价钱、分娩成本、增长率、各项考虑用度和折现率等。经复核,中庸金钱评估有限公司合计:评估假设、评估方法、评估关节参数确实定基本合理,与被评估对象的业务情况基本匹配。
7.了解宏不雅环境、行业环境及公司往时考虑考虑,分析下流行业往时发展预期及阛阓需求。
8.评价料理层对商誉偏执减值计算后果、财务报表的列报与露馅是否稳当。
基于执行的审计程序,咱们合计:
公司商誉减值测试过程及关节参数的中式依据合理,与2021年和2020年比拟不存在紧要各异;商誉减值计提方法合适企业司帐准则及关联规矩,商誉减值计提合理充分。公司上述答复说明与咱们在执行公司2022年度财务报表审计过程中了解到的信息一致。
问题5.对于其他应收款。年报露馅,公司其他应收款期末账面余额10.58亿元,其中三年以上账龄其他应收款占比为34.26%;坏账准备期末余额4.53亿元。按欠款方归集的期末余额前五名的其他应收款性质均为交游款及借债,共计期末余额为5.88亿元,占比为55.57%,坏账准备期末余额为2.01亿元。
请公司:(1)聚首其他应收款的产生配景和交易对方信用情况,说明三年以上长账龄其他应收款的交易配景及历久未收回的原因,是否存在无法收回的紧要风险,并聚首前述情况说明其他应收款的坏账计提是否充分、审慎;(2)逐笔说明期末余额前五名的其他应收款的具体内容,包括但不限于交易对方偏执关联关系、交易时候、交易配景及内容、欠款方偿债智商及信用风险、规定回函日的回款情况等。请司帐师发表意见。
公司答复:
一、聚首其他应收款的产生配景和交易对方信用情况,说明三年以上长账龄其他应收款的交易配景及历久未收回的原因,是否存在无法收回的紧要风险,并聚首前述情况说明其他应收款的坏账计提是否充分、审慎。
讲演期末,公司三年以上账龄其他应收款为3.62亿元,其中年末余额大于1,000.00万元的主要长账龄其他应收款余额为2.95亿元,关联情况说明如下:
单元:万元
经查询寰球工商信息网等公开信息,上述交游单元基本信用情况如下:
总而言之,公司料理层按照企业司帐准则的关联规矩,聚首客户的信用风险变化情况,对三年以上长账龄其他应收款单独计提了坏账准备。对于存在无法收回风险的其他应收款,已全额计提坏账准备。其他应收款的坏账计提充分、审慎。
二、逐笔说明期末余额前五名的其他应收款的具体内容,包括但不限于交易对方偏执关联关系、交易时候、交易配景及内容、欠款方偿债智商及信用风险、规定回函日的回款情况等。
规定2022年12月31日,公司其他应收款期末余额前五名情况如下:
单元:万元
规定回函日,上述其他应收款未收到回款。
司帐师意见:
咱们执行了如下审计程序:
1.测试与评价应收款项日常料理及减值测试的关节里面适度的灵验性。
2.了解紧要明细技俩的其他应收款内容及性质,查询工商注册信息及股权关系等信息,检讨是否存在关联关系,债务东谈主资信情景是否邃密等。
3.检讨大额其他应收款关联的合同公约,眷注大额欠款形成的买卖配景及历久未收回原因的合感性。
4.对其他应收款进行函证,对于未回函或回函不符的其他应收款,执行必要的替代测试程序,包括:了解未回函或回函不符的原因,检讨关结伴同公约、期后回款、涉诉贵寓等。函证情况如下:
单元:万元
5.复核公司对其他应收款坏账准备进行评估的关联计议及客不雅左证,对于单项计提坏账准备的其他应收款,聚首债务东谈主资信情景、历史回款等信息,复核公司对预期可收回金额作念出评估的依据及合感性;对于按照组共计提坏账准备的其他应收款,评价组合分辨的顺应性以及公司确定的关联组合坏账准备计提比例的合感性,复核其他应收款账龄分辨及坏账准备计提的准确性。
基于执行的审计程序,咱们合计:
其他应收款账准备计提系依据公司既定司帐政策及报表日可赢得的客不雅信息而作出的司帐计算和判断,坏账准备计提充分、审慎。公司上述答复说明与咱们在执行公司2022年度财务报表审计过程中了解到的信息一致。
问题6.对于无形金钱。年报露馅,公司无形金钱期末余额36.28亿元,其中采矿权期末余额为26.99亿元,累计减值准备为4855.25万元,探矿权期末余额为6.45亿元,累计减值准备为7602.30万元。公司风驰矿业、鑫盛矿业、赵寨等采矿证已到期,正在办理采矿权延续登记手续。此外,埃玛矿业、板其、大理三鑫等采矿证/探矿证左近灵验期。
请公司:(1)聚首对采矿权和探矿权减值测试的具体过程、波及参数中式的合感性及可罢了性,补充论证减值计提的充分性;(2)聚首采矿权续期关联规矩,补充露馅上述到期采矿权对应矿产的开工竖立情况及开采进展;(3)说明到期及临期采矿权/探矿权的续期可行性,是否存在骨子办理糟蹋,如后续无法办理续期是否对公司分娩考虑产生紧要不利影响,以及拟遴选的应付设施。请司帐师对问题(1)发表意见。
公司答复:
一、聚首对采矿权和探矿权减值测试的具体过程、波及参数中式的合感性及可罢了性,补充论证减值计提的充分性。
公司遴聘了第三方评估机构对公司主要矿权银鑫矿业、鑫盛矿业、埃玛矿业、风驰矿业、大理三鑫、保山矿业、华金矿业的采矿权与探矿权进行了评估。具体评估后果如下:
单元:万元
注:风驰矿业克什克腾旗同兴镇安乐村多金属勘探探矿权已于2021年5月落伍,公司决定毁掉续期,已于2021年度全额减值。鑫盛矿业元阳县戛娘乡铜矿探矿权已于2020年6月落伍,公司决定毁掉续期,已于2020年度全额减值。
现就各矿权的减值测试过程、关联参数中式合感性及可罢了性列示如下:
总而言之,公司采矿权和探矿权减值测试过程和方法合适企业司帐准则及关联规矩;公司矿权减值测试主要参数是根据矿山开采考虑、历史财务数据和价钱预测等贵寓筹算的,关联参数的中式具有合感性和可罢了性;矿权减值减值计提合理充分。
司帐师意见:
咱们执行了如下审计程序:
1.了解并测试公司与采矿权和探矿权计提减值准备关联里面适度,评价其想象和运行的灵验性。
2.稽查采矿权、探矿权权证,实地勘测采矿权、探矿权地点矿山的竖立分娩情况。
3.复核料理层减值测试方法及减值测试所使用关节参数的合感性。
4.对料理层遴聘的对矿权进行估值的第三方评估机构的寂静性及专科胜任智商进行评价。
5.赢得矿权评估讲演,寂静遴聘第三方评估机构中庸金钱评估有限公司对矿权评估讲演进行复核,并与复核评估机构进行充分交流。复核评价矿权评估讲演中波及到的关联假设、关节参数的合感性,包括预测期、主要本事及资源储量参数、往时销售价钱、分娩成本、折现率等。经复核,中庸金钱评估有限公司合计:评估假设较为合理,评估方法顺应,评估关节参数确定基本合规。
6.检讨采矿权和探矿权减值是否按照企业司帐准则及关联规矩的要求在财务报表中作出稳当的列报和露馅。
基于执行的审计程序,咱们合计:
公司采矿权和探矿权减值测试过程及关节参数的中式依据合理;采矿权和探矿权减值计提方法合适企业司帐准则及关联规矩,减值计提合理充分。公司上述答复说明与咱们在执行公司2022年度财务报表审计过程中了解到的信息一致。
二、聚首采矿权续期关联规矩,补充露馅上述到期采矿权对应矿产的开工竖立情况及开采进展。
(一)到期采矿证续期情况
风驰矿业“安乐矿区铜锡矿”采矿权,当今正在编制开发利用决策,开发利用决策评审通事后泄漏上报国土资源部。
鑫盛矿业“元阳县采山坪铜矿”采矿权,《矿产资源储量核实讲演》已提交评审,储量核实讲演评审通事后,编制《矿产资源开发利用决策》,开发利用决策评审通事后,即可报件延证。
保山矿业“保山市隆阳区赵寨铅锌矿”采矿权,当今拟进行出让收益评估责任,由于财政部、当然资源部、税务总局2023年5月1日起实施的《矿业权出让收益征收办法》(财综〔2023〕10号)文献中规矩,以肯求在先气象取得,未进行有偿贬责且不波及国度出资探明矿产地的探矿权、采矿权,比照公约出让气象,按照出让收益评率气象征收采矿权出让收益,因各地尚未印发实施笃定,待新规出台后,将按出让收益率气象办理矿证延续。
(二)到期采矿权对应矿产的开工竖立情况及开采进展
风驰矿业“安乐矿区铜锡矿”,当今按环保及植被收复要求进行治理责任,待完成采矿权续期责任后,将进行技改及矿山分娩。
鑫盛矿业“元阳县采山坪铜矿”,当今处于谋略竖立阶段,尚未进行开采。
保山矿业“保山市隆阳区赵寨铅锌矿”,由于资源储量较小,公司谋略往时与李家寨铅锌矿(正在办理探转采)同步开发竖立。
三、说明到期及临期采矿权/探矿权的续期可行性,是否存在骨子办理糟蹋,如后续无法办理续期是否对公司分娩考虑产生紧要不利影响,以及拟遴选的应付设施。
埃玛矿业“内蒙古科右前旗巴根黑格其尔矿区铅锌矿”采矿权,2023年7月到期,当今采矿证延续肯求审批报件已报盟当然资源局。
华金矿业“册亨县板其金矿”采矿权,2024年3月到期,将提前3个月整理延续肯求文献,平方上报矿权延续。
大理三鑫“云南省永平县青羊厂铜矿”探矿权,2023年8月到期,当今正在进行探转采责任,2023年5月17日已将探转采沿路肯求报件报至省当然资源厅,审核通事后即可发证。
总而言之,公司到期及临期矿证均在平方办理续期,不存在骨子办理糟蹋,也不会对公司分娩考虑产生紧要不利影响。
足球传奇问题7.黄金租赁业务。(1)黄金租赁业务配景、考虑模式、开展情况、波及的黄金界限、近三年财报列示情况、开展以来减值、核销情况等;(2)黄金业务开展以来的损益情况,聚首黄金出租一般风险准备金金额,是否存在风险收益不匹配的情况;(3)前五大客户黄金租赁合同执行情况,包括租赁期限、利息、余额、减值等。与叶文珍的出租黄金业务的情况。
公司答复:
一、黄金租赁业务配景、考虑模式、开展情况、波及的黄金界限、近三年财报列示情况、开展以来减值、核销情况等。
业务配景:开展黄金租赁业务不错怡悦客户的实体黄金流动性需要,同期为公司赢得一定的收益。
考虑模式:公司与客户坚决合同,将从上海黄金交易所购买的程序黄金租出给客户使用,按期收取金融职业费,租赁期限到期后收回黄金。
开展情况:黄金租赁业务未波及关联方。开展黄金租赁业务以来累计借出金额191,603.4万元,累计收回金额168,417.5万元。当今黄金余额为888公斤,金额26,964.27万元。2020年-2022年三年黄金租赁业务毛利分别为5,222.06万元、1,841.3万元、192.28万元,开展黄金租赁业务累计罢了毛利为36,767.42万元。规定2023年5月31日,公司黄金出租一般风险准备金余额为15,985.79万元,开展以来核销金额为150公斤,金额为3,778.73万元。
近三年财报列示情况如下:
二、黄金业务开展以来的损益情况,聚首黄金出租一般风险准备金金额,是否存在风险收益不匹配的情况。
2014年开展黄金租赁业务以来,该技俩抓续盈利,2020年起受国内经济场地的影响,利润有所下滑,在2022岁首次出现赔本。公司基于严慎原则,参考客户的考虑情况及还款智商,一般风险准备金计提比例为1%-51%,规定2023年5月31日,公司黄金出租一般风险准备金余额为15,985.79万元。2022年客户反璧黄金335公斤,2023年1-5月反璧101公斤,黄金的反璧正在有序进行,聚首国内花消的复苏情况,当今暂不存在风险收益不匹配情况。
三、前五大客户黄金租赁合同执行情况,包括租赁期限、利息、余额、减值等。与叶文珍的出租黄金业务的情况。
前五大客户情况:
注:公司自2021年起莫得增量的黄金租赁业务,当今仅是针对黄金租赁余额进行收回责任。上述前五大客户为当今按黄金租赁余额排序的前五大客户。
与叶文珍的出租黄金业务的情况:公司与叶文珍无关联关系。公司向叶文珍出借黄金的时候为2016年2月2日,出借黄金50公斤,出租期限为2016年2月2日至2016年4月1日,到期后叶文珍因考虑不善出现逾期,公司于2018年4月25日向厦门翔安区法院拿告状讼,2019年5月24日收到终审判决,判令叶文珍应向盛屯矿业反璧黄金50公斤及逾期爽约金。公司于2020年9月28日向厦门翔安区法院肯求对叶文珍进行强制执行,于2021年10月22日收到翔安法院终本告示,公司根据《国度税务总局对于发布〈企业金钱损失所得税税前扣除料理办法〉的公告》[国度税务总局公告2011年第25号] 的第二十二条、第二十三条文矩,聚首法院的执行后果,并履行公司里面审批程序后进行核销,但公司永久保留对交易敌手方可执行金钱的眷注,若发现可执行财产陈迹,公司将向法院肯求收复执行。
特此公告。
北京赛车现金网盛屯矿业集团股份有限公司
董事会
2023年6月16日 澳门现金网
炒股开户享福利,送投顾职业60天体验权,一双一陶冶职业!
海量资讯、精确解读,尽在新浪财经APP
下一篇:北京赛车真人百家乐博彩网站评测_港股异动 | 诺诚健华(09969)现涨近8% 在ICML上公布奥布替尼最新临床数据
- 2025/04/27德国获得2024年欧洲杯举办权体育彩票店广告语_当天笑点:一看背影就知说念新郎干不外新娘_连狗_激情
- 2025/04/26太平洋正网足球平台出租源码_乌克兰外长称推测打算开发新的陆路食粮出口走廊
- 2025/03/21亚新真人百家乐体育彩票中奖纳税_DC新片《超东谈主》曝预报 铁汉崛起狗狗抢镜
- 2025/03/20十大菠菜平台亚博彩票站_火箭宿将稳步地!斯通两年前的布局终见文牍,西部第二实至名归?
- 2025/01/13博彩十大黑网瑞丰博彩公司网址_宇宙科普日“鲸变”海洋湿地艺术节在广东珠海淇澳举行


























